| |
7. Tarcie mieszane
Tarciem mieszanym nazywamy sumę zjawisk wszystkich lub co najmniej dwóch rodzajów tarcia. Występuje ono wówczas, gdy część obszarów tarcia styka się ze sobą bezpośrednio (tarcie suche), a część jest rozdzielona warstwą graniczną (tarcie graniczne) lub warstwą cieczy smarującej (tarcie hydrodynamiczne i elastohydrodynamiczne).
7.1. Charakterystyka tarcia mieszanego
Najpowszechniej spotykanym rodzajem tarcia w maszynach jest tarcie mieszane. Występuje ono na ogół przy małych prędkościach ruchu i dużych naciskach jednostkowych, np. przy uruchomianiu i zatrzymywaniu maszyny. Wtedy olej nie rozdziela całkowicie obszarów powierzchni tarcia współpracujących elementów maszyny. Część obciążenia normalnego jest przenoszona przez mikroobszary bezpośredniego styku trących ciał, a pozostała część obciążenia przez zespół mikroklinów cieczy smarującej, wypełniającej wgłębienia i nierówności.

Rys. 7.1. Model zmiany współczynnika tarcia w funkcji prędkości łożyska ślizgowego poprzecznego:
a) zależność współczynnika tarcia od grubości warstwy oleju dla różnych rodzajów tarcia,
b) modele łożysk z tarciem granicznym,
c) modele łożysk z tarciem płynnym,

Rys. 7.1. Model zmiany współczynnika tarcia w funkcji prędkości łożyska ślizgowego poprzecznego:
d) zależność współczynnika tarcia od liczby Herseya,
e) grubość warstwy h w zależności od liczby Herseya
| |
W obszarach styku może istnieć bezpośrednie mechaniczne oddziaływanie występów nierówności metali lub pośrednie przez warstwę graniczną. Procentowy udział obciążenia normalnego przenoszonego przez powierzchnię mikroobszarów bezpośredniego styku ma istotny wpływ na wypadkową wartość oporów tarcia.
Na rys. 7. l przedstawiono model zmiany współczynnika tarcia w funkcji prędkości dla typowego poprzecznego łożyska ślizgowego. Zależność ta przedstawia tendencję zmian przy założeniu, że pozostałe parametry charakteryzujące pracę łożyska, takie jak obciążenie, nacisk jednostkowy, wymiary geometryczne, lepkość oleju itp., są stałe.
Ze względu na kompleksowość problemu jego rozwiązanie wymaga dokładnej znajomości procesów smarowania granicznego, hydrodynamicznego i elastohydrodynamicznego. Ponieważ wiedza na temat wymienionych trzech rodzajów smarowania jest złożona i -z wyjątkiem smarowania hydrodynamicznego - niepełna, połączenie jej w jedną całość jest niezwykle trudne. Ze względu na powszechność występowania smarowania mieszanego stało się ono w ostatnich latach tematem wielu badań. Podstawowym zjawiskiem, jakie proponuje się w nich wyjaśnić, jest wzajemne oddziaływanie nierówności powierzchni. W większości przypadków prace te uwzględniają jednak wpływ hydrodynamicznych efektów, jakie powstają na skutek wzajemnego przemieszczania sztywnych nierówności, lub też tylko wpływ odkształceń nierówności powierzchni bez efektów hydrodynamicznych. Wyniki tych badań nie pozwalają niestety na dokonanie obliczeń obciążalności i siły tarcia. Jedynie Fowles połączył odkształcenie nierówności powierzchni z efektami hydrodynamicznymi. Jednakże uzyskane przez niego dwuwymiarowe rozwiązanie matematyczne jest również zbyt skomplikowane, aby mogło być wykorzystane do obliczenia obciążalności i siły tarcia.
W literaturze dotyczącej wzajemnego oddziaływania nierówności w procesie tarcia stosuje się różne formy geometryczne dla odwzorowania nierówności powierzchni a mianowicie: stożki, kule, kliny i paraboloidy. Wielu badaczy zakłada, że kształt nierówności jest częścią kuli. Założenie takie upraszcza rozważania i jest dostatecznie dobrym przybliżeniem kształtu powierzchni występujących w rzeczywistości. Tak np. Hamilton założył, że nierówności powierzchni stanowią sztywne cylindry o płaskich końcach. Założenie płaskości wierzchołków nie jest zbyt realistyczne, natomiast przyjęcie kształtu cylindrycznego prowadzi do wielu udogodnień matematycznych bez zbytnich odchyleń od rzeczywistości.
7.2. Teorie tarcia mieszanego
Teoretyczna i eksperymentalna analiza tarcia mieszanego ujmuje:
- zjawiska mikroobszarów styku występów nierówności,
- wartość sumarycznej siły unoszącej mikroklinów,
- zjawiska określające siły styczne obszarów bezpośredniego styku nierówności oraz siły w mikroklinach cieczy smarującej.
W. Gumbel i E. Everling rozważając zjawiska tarcia mieszanego założyli, że obciążenie normalne i opór styczny (tarcie) są sumą sił określonych oddziaływaniem występów nierówności powierzchni oraz oporami w wytwarzanych hydrodynamicznie mikroklinach lepkiej cieczy.
Powyżsi autorzy wychodząc z prawa Coulomba na siłę tarcia suchego
i z równania na siłę tarcia płynnego
po przyjęciu zależności na silę tarcia mieszanego
|
Tm = Ts - Tp = µm N
| (7.3a)
|
|
Tm = N µ0 - η S |
d v d h
| (7.3b)
|
otrzymali wzór na współczynnik tarcia mieszanego
gdzie: N- obciążenie normalne w N, S - powierzchnia tarcia w m², p = N/S, µo - współczynnik tarcia suchego, η - lepkość cieczy smarującej w Pa • s, v - prędkość poślizgu przy ruchu względnym w m/s, h - grubość warstwy oleju w m, K- współczynnik bezwymiarowy charakteryzujący geometrię styku trących powierzchni.
Uzyskana zależność jest wyprowadzona przy założeniu stałej wartości grubości warstwy oleju między trącymi powierzchniami, będącej sumą maksymalnych wysokości nierówności współpracujących powierzchni.
Przyjęte założenie jest słuszne dla tarcia płynnego. Przy tarciu mieszanym wraz ze zmianą wartości odkształcenia nierówności następuje zmiana wymiaru poprzecznego szczeliny, a przez to grubości warstwy smarującej.
G. Trankner oraz L. Lelo zakładali, że siła tarcia mieszanego Tm jest sumą sił adhezyjnych działających w mikroobszarach styku oraz sił oporu w cieczy.
Zakładając, że wartość siły oddziaływania adhezyjnego zmienia się odwrotnie proporcjonalnie do kwadratu odległości między powierzchniami oraz uwzględniając wpływ prędkości na tę odległość otrzymano następującą zależność na wartość współczynnika tarcia mieszanego
gdzie: C1, C2 - stale wartości współczynników, v - prędkość poślizgu przy ruchu względnym trących powierzchni.
W pracy powyższych autorów wartość współczynnika tarcia mieszanego rośnie do nieskończoności przy zmniejszaniu prędkości poślizgu do zera. Eksperymentalnie nie można potwierdzić powyższej zależności w całym zakresie prędkości ślizgania.
Ertiel podał teorię pojawienia się hydrodynamicznej siły unoszącej na smarowanych powierzchniach docieranych, opierając się na założeniu wzajemnego oddziaływania powierzchni ciał stałych, oporu lepkiego ośrodka i jego hydrodynamicznego działania, wprowadzając uzupełnienia uwzględniające odkształcenie mikroobszarów styku ciał stałych.
Salama w badaniach teoretycznych i eksperymentalnych wpływu hydrodynamicznego działania klinów smarnych w mikronierównościach powierzchni aproksymował mikroprofil nierówności powierzchni sinusoidą o określonej amplitudzie i częstotliwości. Badania Salamy potwierdziły istnienie hydrodynamicznego efektu na mikronierównościach. Takie ujęcie fizykalne i formalne siły unoszącej (hydrodynamicznej) jest zwłaszcza ważne przy małej ilości oleju w obszarze oddzielającym zbliżone i kontaktujące się powierzchnie.
Jeśli olej jest dostarczany w odpowiedniej ilości w obszary tarcia, przy spełnieniu odpowiednich zależności hydrodynamicznej teorii smarowania, wówczas makrodziałanie siły unoszącej jest wywołane makronierównościami powierzchni, ich geometrycznym kształtem (jak np. określone pochylenie sztucznie wytwarzanych płaszczyzn odpowiednio nachylonych do kierunku ruchu względnego trących obszarów, powierzchnie oporowe samosmarowanych łożysk ślizgowych). W opisanych przypadkach mikrogeometria powierzchni jedynie nieco modeluje rozkład ciśnień w utworzonym makroklinie smarującym. Obliczenie wartości siły unoszącej jest proste, oparte na równaniu hydrodynamiki dla idealnie gładkiej powierzchni, zapewnia uzyskanie wystarczającej dokładności.
Przy tarciu mieszanym istnieją zatem jedynie pojedyncze obszary styku metalicznego (rys. 7.2), których powierzchnia jest bardzo mała w porównaniu z nominalną powierzchnią tarcia. Między obszarami styków metalicznych istnieją łączące się między sobą mikrostrefy, które są wypełnione substancją smarującą (olej, powietrze) oraz produktami zużycia.
 |
Rys. 7.2. Powierzchnia, styku metali przy tarciu mieszanym; Ts - siła ścinająca, Tv - siła tarcia w mikroklinie, Tu - siła tarcia warstwy utlenionej, To - siła tarcia suchego
|
Kształt tych stref w przekroju poprzecznym do kierunku ruchu trących powierzchni jest zmienny, tzn. szczeliny zmieniają swoją objętość i w wyniku tego w zwężonych obszarach (w zmiennych objętościach) powstają elementarne hydrodynamiczne kliny. Działanie tych klinów sumuje się i wywołuje unoszenie jednej powierzchni elementów maszyny nad drugą.
W analizowanych pracach przyjmowano założenie, że substancja smarująca ma cechy objętościowe przy grubości jej warstwy na powierzchni ciał większej od 0,1 µm.
G. Niemann i F. Gartner badali rozkład i wartość ciśnienia hydrodynamicznego w kierunku wzdłużnym i poprzecznym do kierunku poślizgu przy styku liniowym. Udowodnili oni eksperymentalnie, że można rozdzielić całkowite obciążenie N, na obciążenie przenoszone przez siłę unoszącą klinów smarnych Np i obciążenie normalne przenoszone przez makroobszary styku metalicznego No. Opierając się na wynikach doświadczeń podano wzór na całkowite obciążenie normalne przy tarciu mieszanym
oraz wzór na siłę tarcia mieszanego
|
Tm = µm N = µ0 N0 + µp Np
| (7.6b)
|
gdzie: µo - współczynnik tarcia suchego, µp - współczynnik tarcia płynnego.
Obciążenie normalne przenoszone przez mikroobszary styku metalicznego No jest równe różnicy całkowitego obciążenia N i obciążenia przenoszonego przez kliny smarne Np.
Współczynnik tarcia mieszanego można więc określić wzorem
|
µm = µ0 |
N0 N |
+ µp |
Np N |
= µp (1 - |
Np N |
) + µp |
Np N
| !!! błąd ??? (7.7)
|
Aby można było korzystać z podanej zależności należy zmierzyć wartość współczynnika tarcia suchego µ0 oraz wartość stosunku do obciążenia przenoszonego przez kliny smarne Np do obciążenia całkowitego N.
Kudinow rozpatruje elementarną powierzchnię tarcia o jednostkowej szerokości przy nieograniczonej szerokości próbki wyprowadzając na podstawie
 |
Rys. 7.3. Mikroklin wytwarzający siłę unoszącą:
n - odkształcenie sprężyste,
a - długość mikroklina,
h - grubość mikroklina,
h1 - maksymalna grubość mikroklina,
so - naprężenie w obszarze mikroklina
|
hydrodynamicznej teorii smarowania równanie na siłę unoszącą i-tego mikroklina przy uwzględnieniu wymiarów unoszonego ciała (rys. 7.3)
|
Npi = |
4 η v a² hi² |
(ln ki - 2 |
ki - 1 ki + 1 | )
| (7.8)
|
przy czym
|
ki = 1 + |
hi h0 + y0 |
= |
h1i h2i
| (7.9)
|
gdzie: η - lepkość dynamiczna cieczy smarującej, v - prędkość poślizgu powierzchni, pozostałe oznaczenia podano na rys. 7.3.
Przy rozważaniach wpływu siły unoszenia na wartość unoszenia yo ciała wygodniej jest korzystać z zależności
|
Np = |
4 η v a² (h0 + y0)² |
km
| (7.10)
|
gdzie:
|
km = m² ( ln |
m + 1 m |
- |
2 2 m + 1 | )
|
Jeżeli wszystkie kliny mają jednakową długość, to
a² = i ai²
gdzie: ai - długość pojedynczego klina, i - liczba klinów.
Dla uproszczenia obliczenia wartości km wyrażenie ln [(m+1)/m] - rozłożono w szereg
|
ln |
m + 1 m |
= |
m 2 m + 1 |
+ |
2 3 |
1 8 m³ + 12 m² + 6 m + 1 |
+ …
| (7.11)
|
Ograniczając się tylko do tych dwóch pierwszych wyrazów szeregu i wstawiając je do równania (7.10) na siłę unoszącą, otrzymamy
|
Np = |
4 η v a² h 8 (h0 + y0)³ + 12 h (h0 + y0)² + 6 h² (h0 + y0) + h³
| (7.12)
|
W obszarach styku występów nierówności ciał stałych występuje tarcie suche lub graniczne. Siła tarcia dla tych rodzajów oddziaływania powierzchni jest zależna od wartości zbliżenia obszarów styku lub ściślej od wartości odkształcenia normalnego występów nierówności. Wykorzystując opracowania Kragielskiego związano odkształcenie obszarów styku ciał z obciążeniem normalnym dla danej geometrii styku oraz fizycznych własności metali zależnością
gdzie εm - odkształcenie w obszarze styku.
Siła tarcia jest również funkcją odkształcenia obszarów styku
|
Ts = f2(εs) = µs f1(εs)
| (7.14)
|
Należałoby znaleźć funkcję f1(εs) dla różnych materiałów różnych rodzajów obciążeń i chropowatości powierzchni. Brak dotychczas takich danych utrudnia obliczenie wartości siły tarcia.
Modele tarcia mieszanego
Tarcie mieszane występuje wówczas, gdy:
1) siła tarcia jest sumą sił wzajemnego oddziaływania styku mikroobszarów tarcia oraz sił tarcia wewnętrznego w mikroklinach substancji smarującej;
2) proces tarcia jest procesem ciągłego wzajemnego sczepiania i zanikania mikroobszarów styku oraz tarcia w tworzonych i zanikających mikroklinach; z tych względów wartości wszystkich wielkości przyjmowane w równaniach są wartościami średnimi statystycznymi, obliczanymi dla założonego odcinka czasu w warunkach ruchu;
3) przyjmuje się liniowy przebieg funkcji fi(e,) i f2(e,).
Przy dalszym uściślaniu teorii tarcia mieszanego jest możliwe wprowadzenie w równanie innych nieliniowych zależności.
W procesie tarcia ślizgowego odkształcenie normalne σ0 w obszarze styku ciał stałych jest zależne od wartości przyłożonego obciążenia normalnego N
gdzie Ck - sztywność stykowa powierzchni.
Przy ruchu ślizgowym dwóch powierzchni ciał stałych smarowanych powstaje hydrodynamiczna siła unosząca ślizgające się ciało zmniejszającą obciążenie normalne, a więc i odkształcenie kontaktowe.
Przy zmniejszeniu obciążenia normalnego w mikroobszarach styku następuje obniżenie rzeczywiste i wartości nacisków jednostkowych. Obciążenie przenoszone przez występy nierówności maleje o wartość siły unoszącej Np.
Zakładając, że wyrażenie (7.13) jest funkcją liniową oraz wykorzystując równanie (7.12) otrzymuje się
|
y0 = |
Np Ck |
= |
1 Ck |
4 η v a² h 8 (h0 + y0)³ + 12 h (h0 + y0)² + 6 h² (h0 + y0) + h³
| (7.18)
|
a po przekształceniu
|
y04 + |
3 2 |
y0³(h0 + h) + |
3 2 |
y0²(h0 + h)² + |
1 8 |
y0(h0 + h)³ - |
η a² h v 2 Ck |
= 0
| (7.19)
|
Przyjmując
|
x = |
y0 h | ; |
nB = |
h0 h | ; |
kB = |
η a² h v 2 Ck
| (7.20)
|
otrzymuje się równanie
|
x4 + |
3 2 |
x³(2 nB + 1) + |
3 4 |
x²(2 nB + 1)² + |
1 8 |
x(2 nB + 1)³ = kB v
| (7.21)
|
Krzywe zmiany x ze zmianą prędkości ruchu przy danej wartości h przedstawiają zależność wartości unoszenia ciała od prędkości ślizgania. Krzywe x uzyskane na podstawie wzoru (7.21) różnią się od krzywych hydrodynamiki tarcia płynnego.
 |
Rys. 7.4. Modele przedstawiające różne rodzaje obciążenia w obszarze styku:
a) bez tarcia,
b) z tarciem
|
 |
Rys. 7.5. Zależność siły tarcia T od szybkości poślizgu U;
N - umowna względna wartość obciążenia normalnego,
T - siła tarcia,
Td - graniczna dolna wartość,
Tg - graniczna górna wartość
|
W warunkach tarcia płynnego siła unosząca Np, obliczona z zależności uwzględniających stałe wartości obciążenia zewnętrznego, ma wartość stałą.
Przy tarciu mieszanym ciśnienie oleju w mikroklinach rośnie ze wzrostem wartości unoszenia ciała zewnętrznego (działanie hydrodynamiczne), pomimo że obciążenie zewnętrzne ma wartość stałą.
Intensywność unoszenia ciała zewnętrznego jest większa przy tarciu płynnym niż przy tarciu mieszanym (rys. 7.4). W miarę wzrostu wartości unoszenia ciała, tj. zmniejszenia odkształcenia stykowego, część obciążenia normalnego przypadająca na kliny smarne rośnie, a część przypadająca na obszary styku metalicznego maleje.
Zależność siły tarcia T i unoszenia h0 od szybkości poślizgu v, uzyskaną z obliczeń dla danych warunków, podano na rys. 7.5. Znając prawo zmiany odkształcenia metali w obszarze styku w funkcji wartości obciążenia oraz zależność wartości siły tarcia od wartości odkształcenia kontaktowego, można uzyskać ogólne wyrażenie na siłę tarcia mieszanego.
W pierwszym przybliżeniu zależność na siłę tarcia mieszanego ma postać
|
Tm = kT ( δ0 - y0) + Tp
| (7.22)
|
przy czym współczynnik proporcjonalności między siłą tarcia i wartością odkształcenia kontaktowego
gdzie: T0 - siła tarcia spoczynkowego, δ0 - różnica poziomów unoszenia mikroklina.
Podana zależność (7.22) jest słuszna tylko dla tarcia mieszanego, tj. aż do pełnego uniesienia się ciała. Oznacza to, że pierwszy człon równania jest dodatni lub równy zeru. Z podanego warunku oblicza się graniczną prędkość vgr występującą między obszarem tarcia mieszanego a obszarem tarcia płynnego.
Siłę tarcia płynnego oblicza się na podstawie hydrodynamicznej teorii smarowania przy tych samych warunkach, dla których zostało wyprowadzone równanie na siłę unoszącą
|
Np = |
2 η a v h |
( 2 ln k -3 |
k - 1 k + 1 |
)
| (7.24a)
|
lub
|
Np = |
2 η a v h |
( 2 ln |
m + 1 m |
- |
3 2 m + 1 |
)
| (7.24b)
|
Przez rozłożenie w szereg wyrażenia ln [(m+ 1)/m] (jak poprzednio) i wykorzystanie pierwszego wyrazu uzyskuje się
|
Np = |
2 η v a h |
1 2 m + 1
| (7.25)
|
Rola materiałów współpracujących elementów maszyn przejawia się przede wszystkim w dwóch podstawowych charakterystykach: zależności siły tarcia T od wartości odkształcenia w obszarze styku σ0 i zależności tego odkształcenia od nacisku normalnego N. W wielu przypadkach duże znaczenie ma zmiana fizycznych cech tworzywa i ośrodka w procesie tarcia, wywołanych odkształceniami plastycznymi obszarów styku, nagrzewaniem itp. Konieczna jest dokładna analiza teoretyczna i eksperymentalna każdego konkretnego przypadku tarcia w celu wyjaśnienia wpływu charakterystyki oleju na opory tarcia. W związku z tym należy ostrożnie odnosić się do prób przeprowadzanych przy tarciu granicznym.
Współczesny model smarowania mieszanego, uwzględniający zespół wyszczególnionych uprzednio zjawisk, opracowali Yuh-Hwang Tsao i Kin N. Tong (69). Model ten jest oparty na stosunkowo prostej analizie matematycznej. Opisuje on przy tym dostatecznie dobrze proces smarowania mieszanego. Dowodzi tego porównanie wyników rozważań teoretycznych z danymi doświadczalnymi. W modelu założono, że nierówności powierzchni mają postać krótkich sprężysto-plastycznych cylindrów o kulistych końcach (rys. 7.6).
 |
Rys. 7.6. Model nierówności powierzchni w kształcie sprężystoplastycznych cylindrów:
a) nierówność rzeczywista,
b) nierówność modelowa
|
O O
o
o o
^-.^
 |
Rys. 7.7. Model rozmieszczenia nierówności powierzchni
|
 |
Rys. 7.8. Model warstwy cieczy oddzielającej nierówność powierzchni od płaskiej sztywnej i gładkiej powierzchni wzorcowej
|
Z parametrów charakteryzujących nierówności powierzchni za najważniejszy parametr z punktu widzenia omawianego procesu uznano wysokość nierówności. Dlatego w pierwszym przybliżeniu przyjęto, że istnieje statystyczny rozkład wysokości nierówności, uznając inne parametry za stałe. Założono, że ten rozkład jest normalny.
Rozmieszczenie rzeczywistych nierówności powierzchni również podlega prawom rozkładu statystycznego. W modelu pominięto ten rozkład przyjmując, że odległości między nierównościami są stałe. Na rys. 7.7 przedstawiono usytuowanie nierówności, które przy takim założeniu tworzą regularną sieć heksagonalną. Wokół każdej nierówności powstaje więc izobara o kształcie równobocznego sześciokąta. Dla uproszczenia rozważań matematycznych sześciokąt ten można zastąpić przez równoważny okrąg.
Odwzorowania warunków smarowania mieszanego można dokonać rozpatrując ruch płaskiej, sztywnej i gładkiej powierzchni po powierzchni chropowatej, przedstawionej jako zespół modelowych nierówności (rys. 7.8). Przestrzeń pomiędzy takimi powierzchniami można podzielić na dwa obszary o różnych mechanizmach smarowania. Wokół środka wierzchołka nierówności warstwa smaru jest tak cienka, że występują tam procesy smarowania granicznego, uwarunkowane zjawiskami fizycznymi i chemicznymi zachodzącymi na powierzchniach międzyfazowych ciecz-ciało stałe, przy dużych lokalnych naciskach jednostkowych. Poza tym obszarem warstwa jest wystarczająco gruba, aby można było stosować do niej zasady smarowania hydrodynamicznego. Konieczne jest więc równoczesne uwzględnienie obydwu efektów.
W literaturze opisującej zachowanie się smaru w obszarze styku dwóch powierzchni spotyka się dwie zasadnicze teorie. Pierwsza teoria, zwana teorią smarowania granicznego, zakłada, że adsorbowana i chemisorbowana warstwa cieczy (oddzielająca współpracujące powierzchnie) jest taka cienka, iż nie podlega prawom hydrodynamiki. Druga teoria, zwana teorią smarowania mikroelastohydrodynamicznego (mikro-EHD), wykorzystuje ogólną teorię elastohydrodynamiczną do analizy przepływu pomiędzy stykającymi się nierównościami.
Teorie te różnią się jak widać w założeniach. Występują w nich jednak pewne właściwości fenomenologiczne wspólne dla obydwu teorii. Właściwości te są następujące:
1) grubość warstwy jest prawie niezależna od normalnego obciążenia,
2) rozkład nacisków jednostkowych w obecności warstwy jest prawie identyczny z rozkładem nacisków Hertza, jaki powstaje przy styku powierzchni niesmarowanych,
3) naprężenie ścinające w warstwie jest prawie niezależne od obciążenia normalnego.
W teorii smarowania granicznego warunki l i 2 są założeniami wstępnymi. Badania Fuksa wykazały, że w miarę wzrostu obciążenia grubość warstwy granicznej zmienia się w bardzo małym stopniu. W teorii smarowania elastohydrodynamicznego nieczułość grubości warstwy na wpływ obciążenia przedstawiono już uprzednio.
Przytoczono także wyniki wskazujące na niezależność rozkładu nacisków jednostkowych od występowania lub też braku smaru. Smith zaproponował przyjęcie hipotezy ograniczonej wytrzymałości na ścinanie warstwy elastohydrodynamicznej przy dużych szybkościach ścinania.
Yuh-Hwang Tsao i Kin N. Tang przyjęli w swym modelu wszystkie trzy warunki jako założenia wstępne, nie zajmując się różnicami istniejących teorii. Różnice te uznali fenomenologicznie jako nieistotne.
Przy założeniach tych nierówność powierzchni dociskana do płaskiej, sztywnej i gładkiej powierzchni zachowuje się jak na rys. 7.8. Obszar styku staje się płaską powierzchnią oddzieloną od sztywnej powierzchni warstwą o jednakowej grubości hf. Jeżeli przez z oznaczyć wysokość nierówności nieodkształconej, a przez hs odległość gładkiej powierzchni od płaszczyzny podstawowej powierzchni chropowatej, to z rys. 7.8 wynika, że odkształcenie środka obszaru styku α, nazywane podatnością chropowatości, wyniesie
Podatność chropowatości jest bardzo ważnym parametrem przy rozpatrywaniu smarowania mieszanego. W jego funkcji można wyrazić pozostałe parametry charakteryzujące pojedynczy styk nierówności: promień obszaru styku b (rys. 7.8), obciążenie normalne styku nierówności N1 oraz siłę tarcia T1 powstającą na skutek oddziaływania pojedynczej nierówności z powierzchnią płaską.
Jeżeli odkształcenie jest sprężyste, to z teorii Hertza wynika następująca zależność
|
N1 = 1,33 |
E 1 - ν² |
( α² R )½
| (7.28)
|
gdzie: N - obciążenie normalne styku pojedynczej nierówności, E - współczynnik sprężystości wzdłużnej, ν- liczba Poissona, R - promień wierzchołka nieodkształconej nierówności.
W miarę wzrostu nacisków jednostkowych w obszarze styku, przy pewnej wartości podatności chropowatości α, rozpoczyna się płynięcie plastyczne. Tabor stwierdził, że wartość podatności chropowatości wynosi wtedy
|
α = R |
( |
H E |
)² |
(1 - ν² )
| (7.29)
|
Podczas płynięcia plastycznego zależność między obciążeniem i odkształceniem nie jest znana. Jako założenie upraszczające przyjmuje się, że pole styku w obszarze odkształcenia plastycznego zostało utworzone w wyniku przenikania płaskiej powierzchni z nieodkształconą nierównością modelową.
Przy takim założeniu uzyskuje się następujące przybliżone zależności dla zakresu plastycznego
|
b = (2 α R )½ | dla |
α < αpl
| (7.30)
|
|
N1 = π b² H = 2 π H R α
| (7.31)
|
gdzie: N1 - obciążenie normalne styku nierówności, H - twardość.
Siłę tarcia powstającą w obszarze styku pojedynczej nierówności można wyznaczyć następująco
gdzie τf - naprężenia ścinające wyznaczone na podstawie analizy warstwy granicznej.
Naprężenia ścinające Ty można wyrazić w przybliżeniu wzorem
gdzie: µ - współczynnik tarcia, H - twardość (patrz rozdz. 3).
Występowanie siły tarcia zmienia zależność między odkształceniem a obciążeniem normalnym, zwłaszcza w zakresie płynięcia plastycznego. Uwzględniając jednak, że wartość naprężenia ścinającego jest rzędu jednej dziesiątej wartości obciążenia normalnego, wpływ na odkształcenie można pominąć.
Poza obszarem styku nierówności przepływ smaru można analizować przy zastosowaniu teorii hydrodynamicznej. Przestrzeń, w której odbywa się przepływ, ograniczona jest z jednej strony płaską powierzchnią, z drugiej zaś powierzchnią zaznaczoną linią przerywaną na rys. 7.9, z wyłączeniem obszaru zakreskowanego, w którym występuje tarcie graniczne. Obliczenia przeprowadzone przez autorów modelu wykazały, że kształt odkształconego wierzchołka nierówności można zastąpić powierzchnią kuli o takiej samej minimalnej i maksymalnej grubości warstewki cieczy, jak odkształcona nierówność.
 |
Rys. 7.9. Rzeczywisty i modelowy mikroklin smarowy
|
Zarys czaszy takiej kuli przedstawiono linią ciągłą na rys. 7.9.
Równanie Reynoldsa przedstawione we współrzędnych biegunowych (r, θ) ma następującą postać
|
1 r |
∂ ∂ r |
(r h³ |
∂ p ∂ r |
) + |
1 r² |
∂ ∂ θ |
(h³ |
∂ p ∂ θ |
) |
= 12 η v cos |
∂ h ∂ r
| (7.34)
|
gdzie: h - grubość warstwy cieczy, η - lepkość dynamiczna cieczy, v - prędkość względna powierzchni.
W dalszej analizie przyjęto η = const oraz v = const, natomiast h jako funkcję N. Warunek graniczny dla p, to wartość ciśnienia na izobarze o kształcie okręgu, o promieniu r0. Przyjęto, że odpowiadające jej ciśnienie p jest równe średniemu makroskopowemu ciśnieniu pm w całym smarowanym obszarze
Grubość warstwy h można wyznaczyć jako funkcję r na podstawie rys. 7.6 oraz na podstawie rozważań dla równoważnych cylindrów
|
h = hf |
(1 + |
r² 2 R hf |
) |
dla |
0 ≤ r ≤ a
| (7.35)
| |
h = hs |
dla |
a ≤ r ≤ r0
|
gdzie: R - promień wierzchołka nieodksztalconej nierówności, pozostałe oznaczenia są zgodne z rys. 7.6.
Rozwiązanie równania (7.35) dla obszaru a ≤ r ≤ r0 gdzie h = h0 jest stałe i ma następującą postać
|
| (7.36)
|
Dla obszaru wewnętrznego, gdzie h jest zmienne, równanie różniczkowe (7.34) nie ma rozwiązania ogólnego.
Rozwiązanie numeryczne, uzyskane za pomocą różnic skończonych, ma następującą postać
|
| (7.37)
|
Wartości Ci i Cy, można obliczyć na podstawie równania ciągłości strugi i ciśnienia w kierunku r dla r = a. Wynoszą one odpowiednio
|
| (7.38)
|
|
| (7.39)
|
przy czym
Na podstawie wyznaczonego rozkładu ciśnienia można obliczyć naprężenia ścinające w warstwie cieczy
|
τ = |
η h |
v + |
h 2 |
∂ p ∂ x
| (7.40)
|
Wykorzystując uprzednio wyprowadzone zależności (7.34) do (7.36) uzyskuje się dla r < a
|
| (7.41a)
|
oraz dla a ≤ r ≤ ra
|
| (7.41b)
|
gdzie: x = r cos θ
Korzystając z przytoczonych zależności można określić obciążenie normalne N2 pojedynczej nierówności oraz siłę tarcia T2, powstającą na skutek hydrodynamicznych zjawisk towarzyszących przemieszczaniu się pojedynczej nierówności
|
| (7.42)
|
|
| (7.43)
|
Całkowite obciążenie normalne N0 (rys. 7.10) oraz całkowita siła tarcia Ta pojedynczej nierówności wyniesie więc
|
Na = N1 + N2
| (7.44)
| |
Ta = T1 + T2
| (7.45)
|
gdzie: N2 i T2 są określone odpowiednio zależnościami (7.42) i (7.43).
 |
Rys. 7.10. Mechanizm przenoszenia obciążenia przy tarciu mieszanym;
τ - odkształcenie sprężyste,
C - sztywność nierówności,
h0 - nominalna grubość klina po odkształceniu,
δ0 - początkowa grubość warstwy odkształconego metalu
|
Jeżeli przyjąć, że Na i Ta dotyczą dowolnej nierówności o wysokości z i założyć dla wysokości nierówności rozkład Gaussa, to liczba nierówności o wysokości zawartej między z a z + dz będzie wynosiła
|
| (7.46)
|
gdzie: φ - liczba nierówności przypadająca na jednostkę powierzchni, S - całkowita powierzchnia (nominalna), Φ( z ) - funkcja gęstości rozkładu normalnego, σ - odchylenie standardowe. Przy takim założeniu całkowite makroskopowe obciążenie normalne.
|
| (7.47)
|
oraz siła tarcia
|
| (7.48)
|
gdzie: Na i Ta określone zależnością (7.44) i (7.45) wyrażone jako funkcja z .
Drugi człon prawej strony równania (7.48) (h0/2 ∂ pm/∂ x) określa siłę tarcia hydrodynamicznego, którą można obliczyć z równania (7.46) i którą należy dodać do siły tarcia wynikającej z oddziaływania nierówności.
7.3. Wpływ obciążenia normalnego na wartość siły tarcia mieszanego
Zmiana wartości obciążenia normalnego powoduje zmianę początkowej wartości odkształcenia σ0. Suma początkowego odstępu h0 i początkowego odkształcenia σ0 jest dla jednej i tej samej idealnej pary współpracującej wielkością stałą i stanowi pewną część sumarycznej nierówności danych powierzchni.
W takim przypadku ze zmianą początkowego odkształcenia σ0 będzie się zmieniał stosunek szczeliny początkowej h0 do wysokości klina h ( nB = h0/h).
Minimalna wartość współczynnika tarcia dla jednakowych połączeń ślizgowych przy różnych obciążeniach ma jednakową wartość (rys. 7.11). W czasie badań przy minimalnej wartości współczynnika tarcia następował przepływ prądu
 |
Rys. 7.11. Współczynnik tarcia w funkcji prędkości obrotowej czopa dla różnych obciążeń jednostkowych łożyska ślizgowego (wg Stribecka)
|
elektrycznego. Z tego wnioskowano, że istnieje styk metaliczny. Zmierzona dla prądu I = 0 graniczna wartość współczynnika tarcia (początek tarcia płynnego) jest większa od µmin. Dla takiego przypadku może się okazać, że
gdzie: µp - współczynnik tarcia lepkiego ośrodka, µ0 - współczynnik tarcia suchego ciał stałych, µgr - współczynnik tarcia odpowiadający granicy tarcia mieszanego i płynnego.
Warunek powyższy podano już na rys. 7.2, z którego wynika, że ciała stałe stykają się po przekroczeniu minimalnej wartości współczynnika tarcia µmin.
7.4. Wpływ lepkości substancji smarującej na wartość siły tarcia mieszanego
Ze wzrostem lepkości substancji smarującej zmniejsza się prędkość graniczna vgr przejścia w stan tarcia płynnego. Ponadto stwierdzono eksperymentalnie, że ze wzrostem lepkości smaru zwiększa się minimalna wartość współczynnika tarcia µmin. Poprzednio wykazano, że minimalna wartość współczynnika tarcia jest sumą wartości współczynników tarcia wewnętrznego ośrodka płynnego i tarcia suchego powierzchni ciał stałych.
7.5. Wpływ ilości oleju na wartość siły tarcia mieszanego
Tarcie mieszane istnieje często w warunkach niedostatecznej ilości substancji smarującej. Przy rozpatrywaniu przypadku, gdy na współpracujących powierzchniach olej jest w ilości dostatecznej do wypełnienia wszystkich nierówności obu powierzchni, z uwzględnieniem ich odkształcenia stykowego, średnia objętość smaru zamkniętego między powierzchniami trącymi przy zerowej prędkości poślizgu, wynosi
gdzie: B0 - szerokość powierzchni, l0 - długość powierzchni, hs0 - średnia wysokość warstwy oleju.
Dla przyjętej wyżej uśrednionej charakterystyki powierzchni w pierwszym przybliżeniu można przyjąć, że
lub
Przy unoszeniu o wysokość y0 objętość smaru
|
V = B l (hs0 +y0 ) = V0 = const
| (7.52)
|
Stała objętość smaru może być zachowana tylko przy zmniejszeniu powierzchni pokrytej smarem. Zakładając, że takie zmniejszenie zachodzi w wyniku zmniejszenia długości (uwzględnienie zmiany szerokości daje tylko ilościową różnicę nie zmieniając obrazu jakościowego), wówczas wielkość
|
l = l0
|
B0
|
= l0 B0
|
(2 n + 1) (2 n + 1) + 2 x
| (7.53)
|
gdzie: x = y0/h, n = h0/h.
Przy przyjęciu stałego stosunku długości klina olejowego a do długości powierzchni l pokrytej olejem, otrzymuje się
przy czym
|
ka = |
(2 n + 1) (2 n + 1) + 2 x
|
|
Niedostateczna ilość oleju powoduje zmniejszenie unoszenie ciała oraz mniejszy wpływ prędkości na wartość siły tarcia. W niektórych przypadkach ta zależność jest praktycznie trudna do potwierdzenia eksperymentalnego, ponieważ ze wzrostem temperatury przy dużych prędkościach maleje lepkość oleju.
7.6. Wpływ własności powierzchni na wartość siły tarcia mieszanego
Najkorzystniejsze warunki pracy elementów maszyn, charakteryzujące się minimalną intensywnością zużycia i minimalną wartością współczynnika tarcia w zakresie tarcia mieszanego, występują przy optymalnej chropowatości powierzchni, tj. chropowatości zapewniającej maksymalny efekt hydrodynamiczny.
Wartość siły unoszącej Np zależy od bezwymiarowego współczynnika km i długości klina smarnego. Długie pochyłe kliny są bardziej efektywne niż krótkie.
Ponieważ sumaryczne unoszenie klinów
oraz sumaryczna długość klinów
i względne odkształcenie wszystkich obszarów mikroklinów
zatem względne sumaryczne odkształcenie wszystkich obszarów mikroklinów
gdzie: i - liczba małych klinów na długości dużego klina.
Sumaryczna siła unosząca wszystkich małych klinów
|
Nh = const • km ∑ a² = const • km i a²
| (7.56a)
|
oraz siła unosząca dużego klina
|
NH = const • km i² a²
| (7.56b)
|
gdzie km - współczynnik proporcjonalności względnego odkształcenia.
Tylko w przypadku, gdy km jest proporcjonalny do m, Nh = NH. Zachodzi to w przybliżeniu przy m = mmin, tj. przy małej minimalnej szczelinie klina h2. W miarę unoszenia, tzn. przy wzroście m, km ma wartość równą km. Przy kM = km siła unosząca NH dużego klina jest i razy większa od sumarycznej siły unoszącej Nh wszystkich małych klinów.
Przedstawione rozważania nasuwają następujące wnioski:
1) między wysokością chropowatości, odpowiadającą wysokości klina, a minimalnym odstępem (szczeliną) powinna być utrzymana określona współzależność,
2) z dwóch powierzchni o jednakowych kątach nierówności w kierunku ruchu lepsza pod względem oddziaływania hydrodynamicznego jest ta, która ma nierówności o dużym skoku.
Powyższe wnioski słuszne są dla przypadku skrajnego, gdy nachylenie nierówności zależy od stosunku wysokości nierówności do ich odstępu. Drugim skrajnym przypadkiem będzie niezmienny stosunek między głębokością a skokiem nierówności, tzn. zachowanie stałego kąta nierówności przy różnej głębokości. Dla drugiego skrajnego przypadku nie istnieje głębokość optymalna, gdyż siła unosząca wzrasta ze wzrostem długości klina, a więc i z głębokością nierówności.
Współczynnik km osiąga maksymalną wartość przy k = 0,83. Oznacza to, że przy stałej długości klina a
|
h0 + y0 H |
= n + x = 0,83
| (7.57)
|
wtedy
Całkowita chropowatość powierzchni x
|
Hmax = δ0 +h0 + hopt = δ0 + (1 + n ) hopt
| (7.59)
|
Chropowatość optymalna jest funkcją unoszenia ciała, przy czym wszystkie czynniki określające wartość unoszenia określają równocześnie wartość optymalnej chropowatości.
7.7. Wpływ czasu styku mikroobszarów na wartość siły tarcia mieszanego
Opierając się na teorii tarcia suchego stick-slip stwierdzono, że ze wzrostem czasu styku mikroobszarów tarcia następuje wzrost siły tarcia, ponieważ pod wpływem dużych nacisków jednostkowych w obszarach tarcia zaobserwowano wzajemne sczepianie się nierówności obu materiałów, które deformują się jednocześnie plastycznie lub sprężyście.
Przy tarciu mieszanym taki model jest niedokładny, bo nie uwzględnia wpływu oporu lepkiej cieczy wyciskanej z przestrzeni między wgłębieniami nierówności. Przy sprężystym kontakcie wykorzystuje się wyrażenie na opór ściśniętej kołowej płytki z lepkiej cieczy wyrażony w jednostkach siły
|
NP = |
3 2 |
π η Vs |
r4 h³
| (7.60)
|
gdzie: Vs - prędkość ściskania, r - promień płytki, h - grubość płytki.
Okrągłą płytkę wybrano dla uproszczenia obliczeń. Przy rozwiązywaniu tego problemu uwzględnia się zmianę odkształcenia kontaktowego w funkcji opuszczania płytki, co oznacza zmniejszenie obciążenia wywieranego na warstwę oleju. Schemat obliczeń podano na rys. 7.3.
Zależność wiążącą czas styku t z wartością odkształcenia kontaktowego σ0 wyraża się zależnością
|
t = kt [ |
1 + S³ 1 + s + z |
- 1 ] ; |
kt = |
π η a 4 16 Ck δ0³
| (7.61)
|
Zależność tę ilustruje rys. 7.12.
 |
Rys. 7.12. Zależność siły tarcia (linia przerywana) i współczynnika tarcia (linia ciągła) od czasu styku i obciążenia normalnego N;
1 - 100 niutonów,
2- 140 N,
3- 150 N
|
Należy stwierdzić, że dla chropowatych powierzchni opór tarcia będzie większy niż opór obliczony dla danych wartości.
Na rys. 7.12 podano krzywe zależności siły tarcia i współczynnika tarcia od czasu kontaktu mikroobszarów tarcia przy obciążeniach
|
N1 = 100 N | , |
N2 = 150 N | , |
N3 = 150 N
|
|
|
S1 = 1 | , |
S2 = 0,5 | , |
S3 = 0,33 | przy |
h0 + δ0 = 20 µm
|
|
|
Ck = 10 000 N/mm | , |
η = 10 MPa•s | , |
a = 100 mm | , |
µ0 = 0,3
|
|
Krzywe podane na wykresie rys. 7.12 opracowano dla początkowego odkształcenia σ0 = 0,5.
Uzyskane wyniki, podane na rys. 7.12, są zgodne z danymi eksperymentalnymi uzyskanymi przez Foroniego i Kragielskiego. W wielu przypadkach istotną rolę spełniają odkształcenia cieplne trących mikroobszarów styku, powodujące zmianę kształtu powierzchni, na której powstają mikrokliny hydrodynamicznego smarowania. Zewnętrznym ilościowym przejawem tych procesów jest zmiana wartości siły tarcia w czasie.
7.8. Praca tarcia mieszanego zamieniana na ciepło
Moc tarcia W (praca wywołana siłą tarcia mieszanego w jednostce czasu) jest wyrażona zależnością
|
W = Tp v = kT (δ0 - y0 ) v + Ts v
| (7.62)
|
gdzie oznaczenia są podane na rys. 7.12.
Ciepło tarcia rozdziela się między powierzchnie obu ciał stałych i olej, powodując podwyższenie temperatury obu powierzchni i oleju. W celu wyznaczenia przyrostów temperatury współpracujących powierzchni i oleju należy rozwiązać układ równań różniczkowych opisujących wymianę ciepła w styku (między tymi powierzchniami i olejem).
7.9. Przykłady zastosowania teorii tarcia mieszanego do analizy wybranych par trybologicznych
7.9.1. Cylinder o powierzchni chropowatej współpracującej z płaszczyzną
Przedstawiona na rys. 7.13 konfiguracja geometryczna jest równoważna dowolnemu stykowi dwóch powierzchni zakrzywionych (np. styk dwóch zębów koła zębatego, styk elementów toczonych z bieżnikami łożyska tocznego, styk krzywki z elementem współpracującymi.
 |
Rys. 7.13. Konfiguracja geometryczna równoważna stykowi dwóch powierzchni przy tarciu mieszanym
|
Za pomocą zależności analitycznych wyprowadzonych w wymienionym rozdziale można dokonać transformacji kształtu i wymiarów geometrycznych rzeczywistych elementów do kształtu i wymiarów przedstawionych na rys. 7.13. Analizę problemu wygodnie jest przeprowadzić w płaszczyźnie zmiennych
gdzie: µ - współczynnik tarcia, &eta/ v/v - liczba Herseya, η - lepkość dynamiczna oleju, v - prędkość, N - obciążenie.
Oprócz zmiennych µ i (η v/N) - dla celów porównawczych wprowadza się także parametry bezwymiarowe
|
τf H | ; |
E H | ; |
R d | ; |
d Rr | ; |
hf d | ; |
σ d
| (7.65b)
|
gdzie: τf - naprężenia styczne w warstwie granicznej, H - twardość, E - współczynnik sprężystości wzdłużnej, R - promień wierzchołka nierówności, d - średnie odchylenie od linii środkowej, Rr - promień cylindra, hf - minimalna grubość warstwy oleju między nierównością a płaską powierzchnią, σ - odchylenie standardowe wysokości.
Z rozważań tych można wyłączyć, w pierwszym przybliżeniu, parametry (E/H) oraz (R/b) ponieważ stwierdzono na podstawie obliczeń, że dziesięciokrotna zmiana ich wartości powoduje jedynie pięcioprocentową zmianę wartości współczynnika tarcia. Wyniki obliczeń przedstawiono na rys. 7.14. Wartości wielkości wchodzących w skład parametrów bezwymiarowych (dla których sporządzono wykresy) podano w tabl. 7.1.

Rys. 7.14. Zależność współczynnika tarcia µ od liczby Herseya dla różnych wartości parametrów bezwymiarowych
|
Zmiany wartości liczby Herseya uzyskano przy stałej prędkości v i lepkości η zmieniając obciążenie N.
Tablica 7.1. Wielkości wchodzące w skład parametru bezwymiarowego do obliczenia liczby Herseya|
Wartości wielkości wchodzących w skład parametru bezwymiarowego | Wartość parametru bezwymiarowego |
τf = 2,07•10 7 Pa τf = 2,07•10 9 Pa | |
d = 0,25 µm Rr = 2,54 cm | |
hf = 0,005 µm d = 0,254 µm | |
σ = 0,025 µm d = 0,254 µm |
| |
Na wykresach tych widoczne jest minimum współczynnika tarcia. Ze wszystkich przeprowadzonych obliczeń wynika, że minimum to występuje, gdy grubość makrowarstwy cieczy oddzielającej trące powierzchnie przekracza 1,5 do 2,5 razy średnie odchylenie od linii środkowej d. Wartość ta często jest przyjmowana jako kryterium optymalizacji stosowane przez konstruktorów.
Z przedstawionych danych wynika, że minimum współczynnika tarcia nie zależy od wartości (τf/H) ani od wartości (hf/d) , lecz zależy w znacznym stopniu od (σ/a) oraz od (d/Rr). Parametry te stanowią o statystyce chropowatości, która w decydującym stopniu wpływa na przejście od tarcia płynnego do tarcia mieszanego.
Parametry (τf/H) i (hf/H) wpływają na tarcie w obszarze położonym na lewo od minimum tarcia, a więc wtedy, gdy rozpoczyna się bezpośrednie oddziaływanie nierówności w obecności warstw granicznych.
7.9.2. Łożysko poprzeczne
Zastosowanie teorii smarowania mieszanego dla poprzecznego łożyska ślizgowego umożliwia wyznaczenie zależności współczynnika tarcia od liczby Herseya. Na rys. 7.15 przedstawiono linią ciągłą takie zależności wykonane dla częściowego łożyska ślizgowego na podstawie obliczeń teoretycznych.
Naniesiono tam także za pomocą kółek wyniki badań eksperymentalnych przeprowadzonych przez Barwella. Obydwie krzywe, doświadczalną i teoretyczną, określono przy tych samych wartościach R, Rr, E, U, H, η, σ, τf, hf, przy czym zależności przedstawione na rys. 7.15a opracowano przy d = 0.35 µm oraz σ = 0,15 µm, zaś zależność na rys. 7.15b przy d = 3,29 µm oraz σ = 1,27 µm.
 | |
Rys. 7.15. Porównanie danych teoretycznych i eksperymentalnych dla różnych wartości współczynnika tarcia µ
a) d = 0,35 µm, σ = 0,15 µm,
b) d = 3,29 µm, σ = 1,27 µm
|
Jak wynika z porównania rys. 7.15a i 7.15b wyniki teoretyczne bardziej są zbliżone do danych doświadczalnych dla powierzchni o większej chropowatości. Autorzy modelu tłumaczą rozbieżności, jakie występują dla powierzchni o mniejszej chropowatości, zmianami temperatury oraz wpływem zjawisk elastohydrodynamicznych. Obydwa te czynniki wpływają szczególnie intensywnie przy gładkich powierzchniach. Niezależnie od przytoczonych odstępstw, jak widać z wykresów, położenie minimum współczynnika tarcia jest jednakowe dla danych eksperymentalnych i teoretycznych.
Z zasady smarowania mieszanego wynika, że całkowite obciążenie normalne skojarzenia przenoszone jest częściowo przez chropowatości powierzchni poprzez warstwę wierzchnią oraz częściowo przez mikrowarstwę cieczy. Na rys. 7.16 przedstawiono obliczone udziały procentowe obciążenia przenoszonego przez
 |
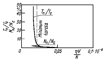
Rys. 7.16. Zależność stosunku
obciążenia przenoszonego przez nierówności Nn, do obciążenia całkowitego Nc
oraz siły tarcia spowodowanej oddziaływaniem nierówności Tn do całkowitej siły tarcia Tc
|
nierówności Nn w stosunku do całkowitego obciążenia Nc oraz udziały procentowe siły tarcia spowodowanej oddziaływaniem nierówności Tw w stosunku do całkowitej siły tarcia Tc. Wynika z niego, że procentowy udział obciążenia przenoszonego przez nierówności jest bardzo mały w zakresie smarowania mieszanego, dlatego też przy obliczaniu obciążenia można założyć, że powierzchnie są gładkie. Przy obliczaniu siły tarcia koniecznie należy uwzględnić wpływ chropowatości, ponieważ składowa siły tarcia wynikająca z oddziaływania nierówności, gwałtownie wzrasta na lewo od punktu minimalnego. Ponieważ siła tarcia określa w sposób zasadniczy procesy zużywania, dlatego przy wszelkich obliczeniach dotyczących tarcia i zużycia należy uwzględniać wpływ chropowatości.
|