| |
BADANIE WŁAŚCIWOŚCI PRZECIWZUŻYCIOWYCH I REAKCJI TRIBOCHEMICZNYCH ESTRÓW KWASU PALMITYNOWEGO I ALKOHOLI ALIFATYCZNYCH W UKŁADZIE TARCIOWYM STAL-STALTHE INVESTIGATION OF ANTIWEAR PROPERTIES AND TRIBOCHEMICAL REACTIONS OF ESTERS OF PALMITIC AND ALIPHATIC ALCOHOLS IN THE STEEL-ON-STEEL SYSTEM
Czesław KAJDAS, Abdul-Karim SHUGA'A Politechnika Warszawska, Instytut Chemii w Płocku
Słowa kluczowe: zużycie tribologiczne, estry, kwasy karboksylowe, alkohole alifatyczne, tribochemia, hydroliza, triboemisja, mechanizm anionowo-rodnikowy (NIRAM), syntetyczne oleje smarowe, zużycie tribologiczne
Publikowane w: TRIBOLOGIA, nr 3, 1998, s. 389
Streszczenie
Zbadano wpływ pięciu estrów na zużycie kulki stalowej układu tarciowego typu tarcza-trzpień. Czyste związki otrzymano poprzez estryfikację kwasu palmitynowego alkoholami alifatycznymi C8, C10, C12, C16 i C18. Jako olej bazowy zastosowano n-heksadekan. Oprócz estrów badano też właściwości przeciwzużyciowe ekwimolekularnych mieszanin kwasu palmitynowego i odpowiednich alkoholi. Wszystkie estry, jak też i odpowiednie mieszaniny kwasu pamitynowego i alkoholi badano w roztworach o stężeniu od 300 ppm do 1,5% (m/m). Oprócz wpływu stężenia poszczególnych estrów w substancji smarowej na przebieg procesu zużycia, uzyskano jednoznaczne wyniki pozwalające na stwierdzenie, że reakcje tribochemiczne estów nie są powodowane procesem hydrolizy, jak to sugeruje dotychczasowa literatura tribologiczna. Jednoznaczne wyniki badań pozwoliłyby na zaproponowanie nowego mechanizmu reakcji tribochemicznych estrów, podstawą którego jest mechanizm anionowo-rodnikowy działania dodatków tribologicznych (N1RAM - Negative-lon--Radical Action Mechanism).
WPROWADZENIE
Oleje estrowe są coraz szerzej stosowane w praktyce przemysłowej. Wynika to głównie z faktu, ze odznaczają się one bardzo dobrymi właściwościami lepkościowo-temperaturowymi (wysoki wskaźnik lepkości), dobrą smarnością, zwykle małą lotnością i niską temperaturą krzepnięcia. Spośród produktów estrowych, najczęściej stosowane są estry kwasów dikarboksyIowych, zawierających od 6 do 10 atomów węgla w cząsteczce oraz alkoholi j ednowodorotlenowych od 6 do 13 atomów węgla. Estry kwasów mono- i dikarboksylowych oraz polioli mają jeszcze lepsze właściwości. Obszerna literatura przedmiotowa często cytowana w książce Shubkina [L. l] dokładnie opisuje rodzaje olejów estrowych i ich zastosowanie w różnych obszarach techniki smarowniczej, w szczególności zaś w lotnictwie, energetyce i transporcie samochodowym. Są one też szeroko stosowane do produkcji wybranych rodzajów olejów przemysłowych. Przykładem mogą być oleje hydrauliczne. Właściwości fizyczne i fizykochemiczne estrów są ściśle uzależnione od budowy części węglowodorowej. Tak więc poprzez dobór kwasu i alkoholi użytych do estryfkacji można kształtować cechy otrzymanego oleju estrowego.
Dobre właściwości smarne estrów wynikają z faktu występowania w nich silnie polarnej grupy estrowej. Estry, podobnie jak kwasy, alkohole i aminy były szeroko badane z punktu widzenia ich wpływu na zmianę współczynnika tarcia [L. 2]. Brak jest natomiast szczegółowej charakterystyki właściwości przeciwzużyciowch estrów.
Ponadto brak jest wyników badań, na podstawie których można by zgodzić się z ogólnie przyjętą w literaturze zasadą, że estry tworzą mydła z metalem poprzez proces hydrolizy do kwasu i alkoholu. Trzeba przy tym powiedzieć, że brak jest jednoznacznego dowodu eksperymentalnego na fakt, że w warunkach tarcia granicznego proces hydrolizy decyduje o reakcji estrów z powierzchnią metalu pary trącej. Przykładowo, praca [L. 3] mówiąca o mechanizmie tworzenia mydła z estru na powierzchni metalu bardziej sugeruje proces hydrolizy „jako możliwy w statycznych warunkach prowadzonego doświadczenia”, niż dowodzi wynikami eksperymentów tarciowych, że ta triboreakcja przebiega według takiego właśnie mechanizmu. Wątpliwości te były przyczyną podjęcia badań zmierzających do jednoznacznego wyjaśnienia mechanizmu reakcji tribochemicznych estrów w warunkach tarcia granicznego układu stal-stal.
HIPOTEZA I CEL PRACY
Rozważając alternatywny mechanizm reakcji tribochemicznych estrów alifatycznych w warunkach tarcia granicznego, wzięto pod uwagę również sposób inicjowania tej reakcji poprzez oddziaływanie niskoenergctycznych elektronów emitowanych podczas procesu tarcia, co daje możliwość posłużenia się mechanizmem anionowo-rodmkowym [L. 4], określanym skrótem NIRAM. Postawiono więc następującą hipotezę. Zaadsorbowana cząsteczka estru na powierzchni tarcia jest atakowana niskoenergetycznym elektronem strumienia cząstek triboemisji, powodując utworzenie anionu karboksylowego R—COO¯. Tak utworzony anion reaguje z atomem metalu, w tym przypadku żelaza, tworząc mydło. Zatem celem szczegółowym podjętych badań, oprócz zbadania wpływu pięciu estrów kwasu palmitynowego na proces zużycia w funkcji ich stężenia w n-heksadekanie w zakresie małych stężeń, było potwierdzenie prawdziwości przyjętej hipotezy. Wstępnym potwierdzeniem słuszności postawionej hipotezy jest wniosek wynikający z przeglądu literatury dotyczącej hydrolizy estrów [L. 5j. Wniosek ten można sformułować następująco. Hydroliza estrów alifatycznych z utworzeniem kwasu i alkoholu alifatycznego w ilości, mającej zauważalny wpływ na przebieg procesu zużycia, ma miejsce tylko w środowisku silnie kwaśnym lub zasadowym.
Jak wiadomo, w warunkach tarcia z udziałem węglowodorowej substancji smarowej brak jest możliwości wystąpienia środowiska o krańcowych wartościach pH. Aby jednak wyeliminować taką ewentualność, w programie badań uwzględniono również testowanie wpływu bardzo niskiego stężenia (300 ppm) kwasu i alkoholu.
Takie podejście do realizacji niniejszego programu badawczego było poprzedzone wstępnym zbadaniem przebiegu procesu hydrolizy estrów alifatycznych w środowisku n-heksadekanu w obecności materiału stalowego, który w bieżących badaniach stanowił element układu tarciowego. Stosowanie nawet bardzo długiego czasu procesu hydrolizy (do 600 minut) i podwyższonej temperatury roztworu do około 100°C nie spowodowało wytworzenia ilości kwasu, dającej się zauważyć poprzez pomiar zmiany wartości liczby kwasowej. Również wprowadzenie znacznej ilości wody (rzędu 1%) nie doprowadziło procesu hydrolizy do zauważalnego wzrostu liczby kwasowej.
CZĘŚĆ EKSPERYMENTALNA
Substancje smarowe
Do badań wytypowano pięć estrów kwasu palmitynowego (C16) i alkoholi 1-oktylowego, 1-decylowego, 1-dodecylowego, 1-heksadekanowego (cetyIowego) i 1-oktadecylowego. Syntezę poszczególnych estrów przeprowadzono w typowych warunkach laboratoryjnych, stosując kwas p-toluenosulfonowy jako katalizator. Reakcję estryfikacji prowadzono w toluenie z ciągłym odprowadzaniem wody z mieszaniny poreakcyjnej. Zsyntezowanie palmityniamy identyfikowano oznaczając ich temperaturę topnienia, temperaturę wrzenia i współczynnik załamania światła. Dodatkowo wykonano widma w podczerwieni wszystkich estrów, w których nie zaobserwowano pasm absorpcji nie charakterystycznych dla estrów alifatycznych. Dane te pozwoliły potwierdzić identyczność struktury chemicznej otrzymanych związków ze strukturą założoną. Skrótowe oznaczenia zsyntezowanych estrów, stosowane w opisie tej pracy, zestawiono w TABELI l.
Tabela 1 Wykaz produktów syntez kwasu palmitynowego i alkoholi C8÷C18 | |
Produkt syntezy | Oznaczenie skrótowe | |
Palmitynian oktylu | PAL-C8 | |
Palmitynian decylu | PAL-C10 | |
Palmitynian dodecylu | PAL-C12 | |
Palmitynian cetylu | PAL-C16 | |
Palmitynian oktadecylu | PAL-C18
|
Do badań tribologicznych zastosowano także mieszaniny kwasu palmitynowego i odpowiednich alkoholi C8÷C18. Czystość kwasu palmitynowego i poszczególnych alkoholi potwierdzono oznaczeniem współczynników załamania światła. Dla ułatwienia opisu testów tribologicznych wprowadzono skróty nazw badanych mieszanin, zestawione w TABELI 2.
Tabela 2 Zestawienie badanych mieszanin kwasu palmitynowego i alkoholi C8÷C18 | |
Nazwa mieszaniny | Oznakowanie | |
Kwas palmitynowy + alkohol 1-oktanol | C16+C8 | |
Kwas palmitynowy + alkohol 1-dekanol | C16+C10 | |
Kwas palmitynowy + alkohol l-dodekanol | C16+C12 | |
Kwas palmitynowy + alkohol 1-tetradekanol | C16+C14 | |
Kwas palmitynowy + alkohol 1-heksadekanol | C16+C16 | |
Kwas palmitynowy + alkohol 1-oktadekanol | C16+C18
|
W testach tribologicznych wszystkie estry, jak też i równomolowe mieszaniny kwasu palmitynowego i odpowiedniego alkoholu stosowano w stężeniu: 0,03% (m/m), 0,1 % (m/m), 0,5% (m/m), 1% (m/m), 1,2% (m/m), 1,5% (m/m), rozpuszczone w czystym n-heksadekanie jako oleju bazowym (BO).
Aparatura badawcza i warunki prowadzenia testów tribologicznych
Do badań tribologicznych wykorzystano urządzenie testowe typu tarcza-trzpień (TESTER T-01M produkcji Zakładu Tribologii Instytutu Technologii Eksploatacji w Radomiu). Schemat i opis aparatu znajduje się w pracy [L. 6]. Warunki prowadzenia testów tribologicznych dobrano tak, aby umożliwić dokonywanie pomiarów w obszarze tarcia granicznego (opis warunków zamieszczono w TABELI 3).
Tabela 3 Warunki prowadzenia testów tribologicznych | |
Warunki prowadzenia testów | Charakterystyka | |
Układ materiałowy | Stal-stal | |
Geometria układu | Kulka na płaszczyźnie (umocowana na stałe kulka ślizgająca się po obracającej się tarczy) |
Para tribologiczna | Kulka | Materiał | Stal łożyskowa (ŁH 15) | |
Średnica, mm | 3.18 | |
Chropowatość, µm | 0.3-0.35 | |
Twardość, HRC | 63 | |
Producent | Zakłady Łożysk Tocznych „Iskra” w Kielcach | |
Dysk | Materiał | Stal ŁH 15 | |
Średnica, mm | 25.4 | |
Grubość, mm | 7 | |
Chropowatość, µm | 0.5÷0.55 | |
Twardość, HRC | ?175 | |
Promień śladu tarcia, mm | 8 | |
Obciążenie, N | 9.81 | |
Prędkość liniowa. m/s | 0.250 | |
Droga tarcia, m | 500 | |
Temperatura, °C | 25 | |
Sposób smarowania | Smarowanie zanurzeniowe
|
Sposób prowadzenia testów tribologicznych
Pomiary prowadzono w sposób opisany w pracy [L. 7]. Dla każdego badanego roztworu wykonywano przynajmniej trzy pomiary, a w przypadku dużych wartości odchylenia standardowego wykonywano pięć pomiarów. Kulki i dyski przed testami poddawano myciu w acetonie z zastosowaniem łaźni ultradźwiękowej przez dwadzieścia minut. Uszczelkę i pierścień, Stanowiące elementy układu pomiarowego, przed każdym pomiarem poddawano myciu w acetonie również z zastosowaniem łaźni ultradźwiękowej w czasie dwudziestu minut. Podczas pomiaru dokonywano rejestracji prędkości obrotowej przeciwpróbki (tarczy) oraz rejestracji temperatury otoczenia węzła tarcia. Każdorazowo po zakończeniu testu mierzono średnicę śladu zużycia kulki za pomocą metalograficznego mikroskopu odbiciowego.
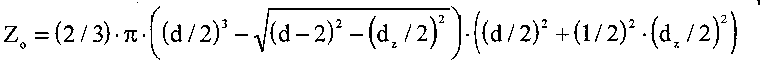
Sposób obliczania zużycia
Na podstawie zmierzonej wartości średnicy śladu zużycia kulki obliczano zużycie objętościowe kulki Zo w p.m³ z zależności
gdzie:
d - średnica kulki, µm;
dz - średnica śladu zużycia kulki, µm.
RYSUNEK l ilustruje sposób wyznaczania zużycia objętościowego kulki.
 | |
Rys. l. Schemat oznaczania wielkości zużycia kulki
Fig. l. Diagram of the determination of ball wear quantity
|
Względne zużycie kulki ZW w % wyznaczono w odniesieniu do zużycia objętościowego kulki w układzie smarowanymi n-heksadekanem z zależności:
Zw = (Zo/Z) • 100
procent redukcji zużycia kulki = 100 — (Zo/Z) • 100
gdzie:
Z - zużycie objętościowe kulki w układzie smarowanym n-heksadekanem, m³.
WYNIKI BADAŃ
Wyniki pomiaru zużycia kulki w zależności od długości łańcucha alifatycznego alkoholu badanych estrów, rozpuszczonych w n-heksadekanie w ilościach od 300 ppm do 1,5% (m/m), zestawiono w TABELI 4. W tabeli tej przedstawiono także wyniki badania wpływu równowagowych mieszanin kwasu palmitynowego i odpowiednich alkoholi w n-heksadekanie. Stosowano identyczne stężenia mieszanin kwas-alkohol jak w przypadku estrów kwasu palmitynowego.
Tabela 1 Procent redukcji zużycia kulki przy zastosowaniu roztworów estrów i mieszanin kawas-alkohol w n-heksadekanie (BO) | |
Rodzaj dodatku | Redukcja zużycia kulki w % | |
stężenie dodatku w % (m/m) | |
1,5 | 1,2 | 1 | 0,5 | 0,1 | 0,03 | |
BO | 0 | |
PAL—C8 | 78,0 | 75,5 | 69,2 | 48,4 | 21,5 | 6,4 | |
C16 + C8 | 77,2 | 77,2 | 77,3 | 77,2 | 77,1 | 77,2 | |
PAL—C10 | 77,0 | 74,0 | 67,5 | 46,0 | 20,8 | 6,7 | |
C16 + C10 | 81,1 | 81,2 | 81,1 | 80,9 | 81,2 | 80,9 | |
PAL—C12 | 60,1 | 57,3 | 51,4 | 37,0 | 18,0 | 8,7 | |
C16 + C12 | 90,1 | 90,2 | 90,1 | 90,2 | 89,9 | 90,1 | |
PAL—C16 | 79,8 | 79,3 | 78,7 | 55,0 | 27,8 | 18,8 | |
C16 + C16 | 96,3 | 96,3 | 96,4 | 96,3 | 96,4 | 96,5 | |
PAL—C18 | 63,0 | 59,9 | 53,8 | 38,9 | 19,6 | 10,0 | |
C16 + C18 | 91,6 | 91,8 | 91,6 | 91,7 | 91,7 | 91,8 | |
C16 + C14 | 92,4 | 92,5 | 92,6 | 92,4 | 92,3 | 92,5 | |
|
Graficzne przedstawienie uzyskanych wyników dla poszczególnych estrów i odpowiadającej im mieszaniny równomolowej kwas-alkohol podano na RYSUNKACH 2-6. Rysunki te pozwalają jednoznacznie stwierdzić, że ze wzrostem stężenia estrów palmitynowych wzrasta procent redukcji zużycia kulki, natomiast w przypadku mieszaniny kwas-alkohol stężenie nie ma żadnego wpływu na przebieg procesu zużycia kulki.
 | |
Rys. 2. Wplyw stężenia roztworów palmitynianu oktylu (seria l) oraz równomolowej mieszaniny kwasu palmitynowego i 1-oktanolu (seria 2) w n-heksadekanie na zużycie kulki
Fig. 2. Influence of the solution concentration of: octyl palmitate (series 1) and equimolar mixture of palmitic acid and 1-octanol (series 2) in n-hexadecane on the ball wear
|
 | |
Rys. 3. Wpływ stężenia roztworów palmitynianu decylu (seria l) oraz równomolowej mieszaniny kwasu palmitynowego i 1-dekanolu (seria 2) w n-heksadekanie na zużycie kulki
Fig. 3. Influence of the solution concentration of: decyl palmitate (series 1) and equimolar mixture of palmitic acid and 1-decanol (series 2) in n-hexadecane on the ball wear
|
 | |
Rys. 4. Wpływ stężenia roztworów palmitynianu dodecylu (seria 1) oraz równomolowej mieszaniny kwasu palmitynowego i 1-dodekanolu (seria 2) w n-heksadekanie na zużycie kulki
Fig. 4. Influence of the solution concentration of: dodecyl palmitate (series 1) and equimolar mixture of palmitic acid and 1-dodecanol (series 2) in n-hexadecane on the ball wear
|
 | |
Rys. 5. Wpływ stężenia roztworów palmitynianu heksadecylu (seria 1) oraz równomolowej mieszaniny kwasu palmitynowego i 1-heksadekanolu (seria 2) w n-heksadekanie na zużycie kulki
Fig. 5. Influence of the solution concentration of: hexadecyl palmitate (series 1) and equimolar mixture of palmitic acid and 1-hexadecanol (series 2) in n-hexadecane on the ball wear
|
 | |
Rys. 6. Wpływ stężenia roztworów palmitynianu oktadecylu (seria 1) oraz równomolowej mieszaniny kwasu palmitynowego i 1-oktadekanolu (seria 2) w n-heksadekanie na zużycie kulki
Fig. 6. Influence of the solution concentration of: octadecyl palmitate (series l) and equimolar mixture of palmitic acid and 1-octadecanol (series 2) in n-hexadecane on the ball wear
|
OMÓWIENIE WYNIKÓW BADAŃ
RYSUNKI 2-6 wyraźnie wskazują na bardzo podobne zachowanie się w warunkach tarcia wszystkich badanych estrów. Największą redukcję zużycia przy stężeniu 300 ppm uzyskano dla estru PAL-C16, (RYS. 5), a najmniejszą dla estru PAL-C8 (RYS. 7). Dla wszystkich estrów (RYSUNKI 2-6) obserwuje się podobny charakter wzrostu ich efektywności przeciwzużyciowej ze wzrostem stężenia. Od stężenia 300 ppm do stężeń 1-1,2% (m/m) mamy do czynienia z wyraźną redukcją zużycia, podczas gdy dalszy wzrost stężenia estru w n-heksadekanie nie ma już istotnego wpływu na proces redukcji zużycia badanego układu tribologicznego.
Uzyskane wyniki badań pozwalają stwierdzić, że dla estrów alifatycznych występuje tu specyficzny efekt oddziaływania międzycząsteczkowego ester-rozpuszczalnik (ogólnie olej bazowy). Specyfika ta, między innymi, przejawia się w występowaniu najkorzystniejszych warunków redukcji zużycia dla wszystkich badanych stężeli estru PAL-C16. Zależność tę ilustruje RYSUNEK 7.
 | |
Rys. 7. Współzależność stężenia roztworów estrów palmitynowych oraz długości łańcucha alkilowego w alkoholach użytych do ich syntezy na zużycie kulki
Fig. 7. Influence of the concentration of palinitic ester solutions and alkyl chain length of alcohols uscd to their synthesis on the ball wear
|
Zaobserwowaną zależność można zinterpretować oddziaływaniem sił kohezyjnych estru PAL-C16 i n-heksadekanu. Mamy tu do czynienia z identyczną długością łańcuchów alkilowych estru i oleju bazowego. Zarówno część kwasowa, jak i alkoholowa estru, jak też oleju bazowego mają po 16 atomów węgla. Sytuacja taka stwarza uprzywilejowane warunki tworzenia warstewki smarowej podobnej do układu kwas palmitynowy-heksadekan w odniesieniu do nośności filmu olejowego czy też temperatury krytycznej kwasów w różnych węglowodorach parafinowych i współczynnika tarcia [L. 8, 9]. Efekt ten wynika z faktu, że koadsorbowane cząsteczki mieszaniny kwasu i węglowodoru tworzą wspólną warstewkę cząsteczek pionowo usytuowanych na powierzchni i są związane (wzmocnione) oddziaływaniem sił kohezji grup metylenowych.
Zjawisko to chociaż bardzo interesujące, tak z punktu widzenia badań podstawowych jak i praktyki przemysłowej, nie było dotąd badane w odniesieniu do procesu zużycia tribologicznego. Pierwszą informację dotyczącą wpływu sił kohezji na przebieg procesu zużycia mieszanin alkoholi alifatycznych w n-hesadekanie opisano ostatnio w pracy [L. 10]. Występowanie minimum i maksimum redukcji zużycia układu stal-stal obserwuje się także dla mieszaniny kwasu palmitynowego i pojedynczych alkoholi, odpowiednio od C8 do C18. Z RYSUNKU 8 jest widoczne, że maksimum redukcji zużycia przypada dla równomolowej mieszaniny kwasu i alkoholu C16. Wyraźne minimum redukcji zużycia wykazuje mieszanina kwasu palmitynowego i 1-oktadekanolu. Warto przy tym nadmienić, że w odniesieniu do badania efektu kohezyjnego układu ester alifatyczny-węglowodór n-parafinowy, w literaturze nie znaleziono żadnej wzmianki dotyczącej choćby nawet współczynnika tarcia.
 | |
Rys. 8. Wpływ długości łańcucha alkilowego mieszaniny: kwas palmitynowy i alkohol C4÷C18 na zużycie kulki; stężenie równomolowej mieszaniny w n-heksadekanie 1% (m/m).
Fig. 8. The influence of alkyl chain length of mixture: palmitic acid and alcohol C4÷C18 on the ball wear; concentration of equimolar mixture in n-hexadecane is 1% (m/m)
|
RYSUNEK 7 wskazuje, że występuje tu również pewne minimum redukcji zużycia charakterystycznego dla estrów, których część alkoholowa zawarta jest w przedziale 11-15 atomów węgla w cząsteczce. Próba wyjaśnienia tego zjawiska będzie przedmiotem kolejnej publikacji po zbadaniu dalszych estrów kwasu palmitynowego i innego alifatycznego kwasu karboksylowego. Wyniki dotyczące właściwości przeciwzużyciowych estrów, uzyskane w tej pracy, ogólnie nie są zgodne z zasadą dotyczącą współczynnika tarcia, jaką obserwuje się tylko dla stężenia 300 ppm.
RYSUNKI 2-6 wskazują, że właściwości przeciwzużyciowe mieszanin kwas palmitynowy-odpowiedni alkohol C8÷C18, nie zależą od ich stężenia w n-heksadekanie. Dokładne wyjaśnienie tego zjawiska, nie prezentowanego dotychczas w literaturze tribologicznej, wymaga dalszych systematycznych badań. Jednocześnie wyniki te stanowią dostateczny dowód wstępny na stwierdzenie, ze reakcja tworzenia mydeł z estru alifatycznego na powierzchni styku tarciowego metalu nie przebiega poprzez reakcję hydrolizy. Jak widać z RYSUNKÓW 2-6, ewentualny proces hydrolizy musiałby prowadzić do większej efektywności przeciwzużyciowej estrów, równoważnej efektywności mieszaniny kwasu palmitynowego i odpowiedniego alkoholu. Tym samym postawiona teza niniejszej pracy wydaję się być potwierdzona. Tak więc zgodnie z koncepcją mechanizmu anionowo-rodnikowego MRAM [L. 4] i hipotezą postawioną w pracy [L. li], główną reakcją estru alifatycznego z powierzchnią styku tarciowego metalu można przedstawić następująco:

gdzie: e jest niskoenergetycznym elektronem emitowanym z powierzchni tarcia

chociaż nie wykluczamy jeszcze innych reakcji i oddziaływań z powierzchnią. W celu uogólnienia tego mechanizmu należy jeszcze zbadać wpływ wyżej rozważanych i innych estrów na przebieg procesu zużycia układu stal-stal w różnych olejach bazowych. Istotne jest również uwzględnienie metali kolorowych. Z punktu widzenia logiki ciągu reakcji tribochemicznych ważne jest zbadanie reakcji chemicznych inicjowanych tworzącymi się rodnikami tak w roztworze substancji smarowej, jak też i na powierzchni tarcia.
PODSUMOWANIE I WNIOSKI
W pracy przedstawiono wyniki badań wpływu stężenia estrów kwasu palmitynowego i alkoholi C8÷C18 oraz mieszanin kwasu palmitynowego i tychże alkoholi na proces zużycia kulki stalowej (ŁH 15) ślizgającej się po tarczy ze stali ŁH 15. Stwierdzono, że estry palmitynowe zachowują się inaczej niż mieszaniny kwasu palmitynowego i odpowiedniego alkoholu, z których syntezowano estry. Wraz ze wzrostem stężenia estru palmitynowego wzrasta procent redukcji zużycia kulki, natomiast w przypadku mieszaniny kwas-alkohol stężenie nie ma żadnego wpływu. Stwierdzono wpływ efektu oddziaływania sił kohezyjnych pomiędzy olejem bazowym i badanymi estrami na przebieg procesu zużycia układu stal-stal. Podobny efekt zaobserwowano również dla mieszanin kwas palmitynowy i pojedynczy alkohol od C8 do C18. Najlepsze właściwości przeciwzużyciowe wykazują roztwory palmitynianu cetylu w n-heksadekanie oraz roztwory mieszaniny równomolowej kwasu palmitynowego i alkoholu cetyl owego (C16) w n-heksadekanie.
Uzyskane wyniki badań pozwalają jednoznacznie stwierdzić, że reakcje tribochemiczne estrów nie są powodowane procesem hydrolizy, jak to wnika z dotychczasowej literatury tribologicznej. Zaproponowano nowy mechanizm reakcji tribochemicznych estrów. Podstawą tego mechanizmu jest hipoteza NIRAM, zakładająca tworzenie się aniono-rodników, anionów i rodników w wyniku oddziaływania na składniki substancji smarowej niskoenergetycznych elektronów emitowanych w warunkach tarcia granicznego ciał stałych. Bardziej szczegółowe poznanie tego złożonego mechanizmu reakcji tribochemicznych wymaga dalszych badań.
LITERATURA
- Shubkin R.L.: Synthetic lubricants and high-perfonnance functional fluids. Marcel Dekker, Inc., New York, Base], Hong Kong 1993.
- Bowden F.P., Tabor D.: Friction and lubrication. Meuthen Co Ltd. 1956. Tłumaczenie polskie. Tarcie i smarowanie. Warszawa, PWN 1962.
- Bowden F.P., Moore, A.C.: Physical and chemical adsorption of long chain compounds on metals. Research 2 (1949), 585-586.
- Kąjdas C.: Importance of anionic reactive intermediates for lubricant component reactions with friction surfaces. Lubr. Sci. 6 (1994), 203-228.
- Jones R.A.Y.: Fizyczna chemia organiczna. Mechanizm reakcji organicznych. PWN, Warszawa 1988.
- Kempiński R., Kędzierska E., K-ardasz K., Wilkanowicz L., Konopka M.: Dodatki tribologiczne do olejów działające według mechanizmu tribopolimeryzacji. Część I - Metakrylany alkilowe C12÷C18. Tribologia XXVI, nr 3 (l 995), 227-298.
- Kąjdas C., Majzner M., Konopka M.: Badanie wpływu kwasów tłuszczowych na przebieg procesu zużycia układu tarciowego stal-stal. Tribologia XXVI l, nr 3 (l 997).
- Askwith T.C., Cameron A., Crouch R.F.: Chain length of additives in relation to lubricants in the thin film and boundary lubrication. Proc. Roy. Soc. 291, Ser. A (l 966), 5 00-519.
- Grcw W.J.S., Cameron A.: Thermodynamics of boundary lubrication and scuffmg. Proc. Roy. Soc. 327, Ser. A (1972), 47-59.
- Kąjdas C., Obadi M.: Badanie wpływu alkoholi alifatycznych C4÷C18 na przebieg procesu zużycia układu tarciowego stal-stal. Tribologia, praca zgłoszona do druku.
- Kąjdas C.: A novel approach to lubrication mechanism under metalworking conditions. Eurpmetalworking, 1994 r., s. 02-1-02-8.
Recenzent: Marian Włodzimierz SUŁEK
Summary
It was investigated influence of five esters on the wear of steel ball in the pin-on-disk system. Pure compounds were obtained by estrification of palmitic acid with aliphatic alcohols C8, C10, C12, C16, and C18. As a basic oil it was used n-hexadecane. Besides it was also investigated antiwear properties of equimolar mixtures of palmitic acid and suitable alcohols. All the esters as well as suitable mixtures of palmitic acid and alkohols were investigated in the shape of 300 ppm÷l,5% (m/m) solutions. Furthermore it was obtained univocal results permitted to ascertain that tribochemical reactions of esters are not caused by hydrolysis process, as the tribological literature bas been suggesting up to the present. Univocal results permit to propose a new mechanism of tribochemical reactions of esters, based on anion-radical mechanism of tribological additives action (NIRAM - Negative Ion Radical Action Mechanism).
|